CSSCR Short Workshop, Fall 2025
Developed during my TA-ship for Chris Adolph’s CS&SS 569
Based on ggplot2 and tidyverse
Code and materials available on my personal website
Not going to cover every method or data
But should be generalizable enough to better your vis.
Key idea: data vis. is about storytelling
How to tell a good story?
Get rid of extraneous and distracting details
Provide enough context to situate the story
Accentuate interesting or surprising patterns
Ask yourself: What is the main takeaway with a graph for readers?
# A tibble: 1,704 × 6
country continent year lifeExp pop gdpPercap
<fct> <fct> <int> <dbl> <int> <dbl>
1 Afghanistan Asia 1952 28.8 8425333 779.
2 Afghanistan Asia 1957 30.3 9240934 821.
3 Afghanistan Asia 1962 32.0 10267083 853.
4 Afghanistan Asia 1967 34.0 11537966 836.
5 Afghanistan Asia 1972 36.1 13079460 740.
6 Afghanistan Asia 1977 38.4 14880372 786.
7 Afghanistan Asia 1982 39.9 12881816 978.
8 Afghanistan Asia 1987 40.8 13867957 852.
9 Afghanistan Asia 1992 41.7 16317921 649.
10 Afghanistan Asia 1997 41.8 22227415 635.
11 Afghanistan Asia 2002 42.1 25268405 727.
12 Afghanistan Asia 2007 43.8 31889923 975.
13 Albania Europe 1952 55.2 1282697 1601.
14 Albania Europe 1957 59.3 1476505 1942.
15 Albania Europe 1962 64.8 1728137 2313.
16 Albania Europe 1967 66.2 1984060 2760.
17 Albania Europe 1972 67.7 2263554 3313.
18 Albania Europe 1977 68.9 2509048 3533.
19 Albania Europe 1982 70.4 2780097 3631.
20 Albania Europe 1987 72 3075321 3739.
21 Albania Europe 1992 71.6 3326498 2497.
22 Albania Europe 1997 73.0 3428038 3193.
23 Albania Europe 2002 75.7 3508512 4604.
24 Albania Europe 2007 76.4 3600523 5937.
25 Algeria Africa 1952 43.1 9279525 2449.
26 Algeria Africa 1957 45.7 10270856 3014.
27 Algeria Africa 1962 48.3 11000948 2551.
28 Algeria Africa 1967 51.4 12760499 3247.
29 Algeria Africa 1972 54.5 14760787 4183.
30 Algeria Africa 1977 58.0 17152804 4910.
31 Algeria Africa 1982 61.4 20033753 5745.
32 Algeria Africa 1987 65.8 23254956 5681.
33 Algeria Africa 1992 67.7 26298373 5023.
34 Algeria Africa 1997 69.2 29072015 4797.
35 Algeria Africa 2002 71.0 31287142 5288.
36 Algeria Africa 2007 72.3 33333216 6223.
37 Angola Africa 1952 30.0 4232095 3521.
38 Angola Africa 1957 32.0 4561361 3828.
39 Angola Africa 1962 34 4826015 4269.
40 Angola Africa 1967 36.0 5247469 5523.
41 Angola Africa 1972 37.9 5894858 5473.
42 Angola Africa 1977 39.5 6162675 3009.
43 Angola Africa 1982 39.9 7016384 2757.
44 Angola Africa 1987 39.9 7874230 2430.
45 Angola Africa 1992 40.6 8735988 2628.
46 Angola Africa 1997 41.0 9875024 2277.
47 Angola Africa 2002 41.0 10866106 2773.
48 Angola Africa 2007 42.7 12420476 4797.
49 Argentina Americas 1952 62.5 17876956 5911.
50 Argentina Americas 1957 64.4 19610538 6857.
51 Argentina Americas 1962 65.1 21283783 7133.
52 Argentina Americas 1967 65.6 22934225 8053.
53 Argentina Americas 1972 67.1 24779799 9443.
54 Argentina Americas 1977 68.5 26983828 10079.
55 Argentina Americas 1982 69.9 29341374 8998.
56 Argentina Americas 1987 70.8 31620918 9140.
57 Argentina Americas 1992 71.9 33958947 9308.
58 Argentina Americas 1997 73.3 36203463 10967.
59 Argentina Americas 2002 74.3 38331121 8798.
60 Argentina Americas 2007 75.3 40301927 12779.
61 Australia Oceania 1952 69.1 8691212 10040.
62 Australia Oceania 1957 70.3 9712569 10950.
63 Australia Oceania 1962 70.9 10794968 12217.
64 Australia Oceania 1967 71.1 11872264 14526.
65 Australia Oceania 1972 71.9 13177000 16789.
66 Australia Oceania 1977 73.5 14074100 18334.
67 Australia Oceania 1982 74.7 15184200 19477.
68 Australia Oceania 1987 76.3 16257249 21889.
69 Australia Oceania 1992 77.6 17481977 23425.
70 Australia Oceania 1997 78.8 18565243 26998.
71 Australia Oceania 2002 80.4 19546792 30688.
72 Australia Oceania 2007 81.2 20434176 34435.
73 Austria Europe 1952 66.8 6927772 6137.
74 Austria Europe 1957 67.5 6965860 8843.
75 Austria Europe 1962 69.5 7129864 10751.
76 Austria Europe 1967 70.1 7376998 12835.
77 Austria Europe 1972 70.6 7544201 16662.
78 Austria Europe 1977 72.2 7568430 19749.
79 Austria Europe 1982 73.2 7574613 21597.
80 Austria Europe 1987 74.9 7578903 23688.
81 Austria Europe 1992 76.0 7914969 27042.
82 Austria Europe 1997 77.5 8069876 29096.
83 Austria Europe 2002 79.0 8148312 32418.
84 Austria Europe 2007 79.8 8199783 36126.
85 Bahrain Asia 1952 50.9 120447 9867.
86 Bahrain Asia 1957 53.8 138655 11636.
87 Bahrain Asia 1962 56.9 171863 12753.
88 Bahrain Asia 1967 59.9 202182 14805.
89 Bahrain Asia 1972 63.3 230800 18269.
90 Bahrain Asia 1977 65.6 297410 19340.
91 Bahrain Asia 1982 69.1 377967 19211.
92 Bahrain Asia 1987 70.8 454612 18524.
93 Bahrain Asia 1992 72.6 529491 19036.
94 Bahrain Asia 1997 73.9 598561 20292.
95 Bahrain Asia 2002 74.8 656397 23404.
96 Bahrain Asia 2007 75.6 708573 29796.
97 Bangladesh Asia 1952 37.5 46886859 684.
98 Bangladesh Asia 1957 39.3 51365468 662.
99 Bangladesh Asia 1962 41.2 56839289 686.
100 Bangladesh Asia 1967 43.5 62821884 721.
# ℹ 1,604 more rows
ggplot(gapminder,
aes(x = gdpPercap,
y = lifeExp,
color = continent)) +
geom_point() +
theme(
panel.background = element_rect(fill = "white"),
aspect.ratio = 1/1.618,
axis.line.x.bottom = element_line(linewidth = 0.2),
panel.grid.major.y = element_line(color = "gray75", linewidth = 0.1),
panel.grid.major.x = element_line(color = "gray75", linewidth = 0.1)
)
# A tibble: 1,704 × 6
country continent year lifeExp pop gdpPercap
<fct> <fct> <int> <dbl> <int> <dbl>
1 Afghanistan Asia 1952 28.8 8425333 779.
2 Afghanistan Asia 1957 30.3 9240934 821.
3 Afghanistan Asia 1962 32.0 10267083 853.
4 Afghanistan Asia 1967 34.0 11537966 836.
5 Afghanistan Asia 1972 36.1 13079460 740.
6 Afghanistan Asia 1977 38.4 14880372 786.
7 Afghanistan Asia 1982 39.9 12881816 978.
8 Afghanistan Asia 1987 40.8 13867957 852.
9 Afghanistan Asia 1992 41.7 16317921 649.
10 Afghanistan Asia 1997 41.8 22227415 635.
# ℹ 1,694 more rows
# A tibble: 1,704 × 6
# Groups: country, continent [142]
country continent year lifeExp pop gdpPercap
<fct> <fct> <int> <dbl> <int> <dbl>
1 Afghanistan Asia 1952 28.8 8425333 779.
2 Afghanistan Asia 1957 30.3 9240934 821.
3 Afghanistan Asia 1962 32.0 10267083 853.
4 Afghanistan Asia 1967 34.0 11537966 836.
5 Afghanistan Asia 1972 36.1 13079460 740.
6 Afghanistan Asia 1977 38.4 14880372 786.
7 Afghanistan Asia 1982 39.9 12881816 978.
8 Afghanistan Asia 1987 40.8 13867957 852.
9 Afghanistan Asia 1992 41.7 16317921 649.
10 Afghanistan Asia 1997 41.8 22227415 635.
# ℹ 1,694 more rows
# A tibble: 142 × 3
# Groups: country [142]
country continent lifeExp_mean
<fct> <fct> <dbl>
1 Afghanistan Asia 37.5
2 Albania Europe 68.4
3 Algeria Africa 59.0
4 Angola Africa 37.9
5 Argentina Americas 69.1
6 Australia Oceania 74.7
7 Austria Europe 73.1
8 Bahrain Asia 65.6
9 Bangladesh Asia 49.8
10 Belgium Europe 73.6
# ℹ 132 more rows
# A tibble: 142 × 3
country continent lifeExp_mean
<fct> <fct> <dbl>
1 Afghanistan Asia 37.5
2 Albania Europe 68.4
3 Algeria Africa 59.0
4 Angola Africa 37.9
5 Argentina Americas 69.1
6 Australia Oceania 74.7
7 Austria Europe 73.1
8 Bahrain Asia 65.6
9 Bangladesh Asia 49.8
10 Belgium Europe 73.6
# ℹ 132 more rows
# A tibble: 20 × 3
country continent lifeExp_mean
<fct> <fct> <dbl>
1 Haiti Americas 50.2
2 Albania Europe 68.4
3 Mexico Americas 65.4
4 Syria Asia 61.3
5 Myanmar Asia 53.3
6 Liberia Africa 42.5
7 Philippines Asia 61.0
8 Canada Americas 74.9
9 Cameroon Africa 48.1
10 Belgium Europe 73.6
11 Mauritania Africa 52.3
12 Nepal Asia 49.0
13 Sudan Africa 48.4
14 Korea, Rep. Asia 65.0
15 Costa Rica Americas 70.2
16 Sri Lanka Asia 66.5
17 Spain Europe 74.2
18 Honduras Americas 57.9
19 China Asia 61.8
20 Israel Asia 73.6
ggplot(lifeExp_mean_sample,
aes(y = fct_reorder(country, lifeExp_mean),
x = lifeExp_mean,
color = continent)) +
theme_cavis_hgrid +
theme(aspect.ratio = 1.618,
legend.position = "top") +
geom_point(size = 7) +
geom_text(aes(label = round(lifeExp_mean, 0)),
color = "white",
size = 3.5) +
labs(y = NULL,
x = "Avg. life expectancy")
ggplot(lifeExp_mean_sample,
aes(y = fct_reorder(country, lifeExp_mean),
x = lifeExp_mean,
color = continent)) +
theme_cavis_hgrid +
theme(aspect.ratio = 1.618,
legend.position = "top") +
geom_point(size = 7) +
geom_text(aes(label = round(lifeExp_mean, 0)),
color = "white",
size = 3.5) +
labs(y = NULL,
x = "Avg. life expectancy") +
guides(
color = guide_legend(
override.aes = list(size = 3)
)
)
library(scales)
ggplot(gapminder,
aes(x = gdpPercap, y = lifeExp,
color = continent)) +
geom_point() +
theme_cavis_grids +
theme(legend.position = "top") +
scale_y_continuous(
breaks = seq(30, 80, 10)
) +
scale_x_continuous(
trans = "log10",
breaks = breaks_log(n = 6, base = 10),
labels = label_comma()
)
library(scales)
ggplot(gapminder,
aes(x = gdpPercap, y = lifeExp,
color = continent)) +
geom_point() +
theme_cavis_grids +
theme(legend.position = "top") +
scale_y_continuous(
breaks = seq(30, 80, 10)
) +
scale_x_continuous(
trans = "log10",
breaks = breaks_log(n = 6, base = 10),
labels = label_comma()
) +
labs(
x = "GDP per capita (logged)",
y = "Life expectancy",
)
library(scales)
ggplot(gapminder,
aes(x = gdpPercap, y = lifeExp,
color = continent)) +
geom_point() +
theme_cavis_grids +
theme(legend.position = "top") +
scale_y_continuous(
breaks = seq(30, 80, 10)
) +
scale_x_continuous(
trans = "log10",
breaks = breaks_log(n = 6, base = 10),
labels = label_comma()
) +
labs(
x = "GDP per capita (logged)",
y = "Life expectancy",
title = "Positive association between GDP per capita and life expectancy",
subtitle = "Data source: Gapminder"
)

[1] "#E41A1C" "#377EB8" "#4DAF4A" "#984EA3" "#FF7F00"
[1] "#1B9E77" "#D95F02" "#7570B3" "#E7298A" "#66A61E"
# A tibble: 1,704 × 6
country continent year lifeExp pop gdpPercap
<fct> <fct> <int> <dbl> <int> <dbl>
1 Afghanistan Asia 1952 28.8 8425333 779.
2 Afghanistan Asia 1957 30.3 9240934 821.
3 Afghanistan Asia 1962 32.0 10267083 853.
4 Afghanistan Asia 1967 34.0 11537966 836.
5 Afghanistan Asia 1972 36.1 13079460 740.
6 Afghanistan Asia 1977 38.4 14880372 786.
7 Afghanistan Asia 1982 39.9 12881816 978.
8 Afghanistan Asia 1987 40.8 13867957 852.
9 Afghanistan Asia 1992 41.7 16317921 649.
10 Afghanistan Asia 1997 41.8 22227415 635.
# ℹ 1,694 more rows
# A tibble: 1,704 × 7
country continent year lifeExp pop gdpPercap decade
<fct> <fct> <int> <dbl> <int> <dbl> <dbl>
1 Afghanistan Asia 1952 28.8 8425333 779. 195
2 Afghanistan Asia 1957 30.3 9240934 821. 195
3 Afghanistan Asia 1962 32.0 10267083 853. 196
4 Afghanistan Asia 1967 34.0 11537966 836. 196
5 Afghanistan Asia 1972 36.1 13079460 740. 197
6 Afghanistan Asia 1977 38.4 14880372 786. 197
7 Afghanistan Asia 1982 39.9 12881816 978. 198
8 Afghanistan Asia 1987 40.8 13867957 852. 198
9 Afghanistan Asia 1992 41.7 16317921 649. 199
10 Afghanistan Asia 1997 41.8 22227415 635. 199
# ℹ 1,694 more rows
# A tibble: 1,704 × 7
country continent year lifeExp pop gdpPercap decade
<fct> <fct> <int> <dbl> <int> <dbl> <dbl>
1 Afghanistan Asia 1952 28.8 8425333 779. 1950
2 Afghanistan Asia 1957 30.3 9240934 821. 1950
3 Afghanistan Asia 1962 32.0 10267083 853. 1960
4 Afghanistan Asia 1967 34.0 11537966 836. 1960
5 Afghanistan Asia 1972 36.1 13079460 740. 1970
6 Afghanistan Asia 1977 38.4 14880372 786. 1970
7 Afghanistan Asia 1982 39.9 12881816 978. 1980
8 Afghanistan Asia 1987 40.8 13867957 852. 1980
9 Afghanistan Asia 1992 41.7 16317921 649. 1990
10 Afghanistan Asia 1997 41.8 22227415 635. 1990
# ℹ 1,694 more rows
## Method 1: facet_grid
ggplot(gapminder,
aes(x = log(gdpPercap),
y = lifeExp)) +
theme_cavis_grids +
facet_grid(continent ~ decade) +
geom_point(alpha = 0.5) +
geom_vline(xintercept = gdpPercap_mean,
linetype = 2,
color = "grey") +
geom_hline(yintercept = lifeExp_mean,
linetype = 2,
color = "grey")
# A tibble: 1,704 × 7
country continent year lifeExp pop gdpPercap decade
<fct> <fct> <int> <dbl> <int> <dbl> <dbl>
1 Afghanistan Asia 1952 28.8 8425333 779. 1950
2 Afghanistan Asia 1957 30.3 9240934 821. 1950
3 Afghanistan Asia 1962 32.0 10267083 853. 1960
4 Afghanistan Asia 1967 34.0 11537966 836. 1960
5 Afghanistan Asia 1972 36.1 13079460 740. 1970
6 Afghanistan Asia 1977 38.4 14880372 786. 1970
7 Afghanistan Asia 1982 39.9 12881816 978. 1980
8 Afghanistan Asia 1987 40.8 13867957 852. 1980
9 Afghanistan Asia 1992 41.7 16317921 649. 1990
10 Afghanistan Asia 1997 41.8 22227415 635. 1990
# ℹ 1,694 more rows
# A tibble: 1,704 × 7
# Groups: continent, decade [30]
country continent year lifeExp pop gdpPercap decade
<fct> <fct> <int> <dbl> <int> <dbl> <dbl>
1 Afghanistan Asia 1952 28.8 8425333 779. 1950
2 Afghanistan Asia 1957 30.3 9240934 821. 1950
3 Afghanistan Asia 1962 32.0 10267083 853. 1960
4 Afghanistan Asia 1967 34.0 11537966 836. 1960
5 Afghanistan Asia 1972 36.1 13079460 740. 1970
6 Afghanistan Asia 1977 38.4 14880372 786. 1970
7 Afghanistan Asia 1982 39.9 12881816 978. 1980
8 Afghanistan Asia 1987 40.8 13867957 852. 1980
9 Afghanistan Asia 1992 41.7 16317921 649. 1990
10 Afghanistan Asia 1997 41.8 22227415 635. 1990
# ℹ 1,694 more rows
# A tibble: 30 × 3
# Groups: continent, decade [30]
continent decade data
<fct> <dbl> <list>
1 Asia 1950 <tibble [66 × 5]>
2 Asia 1960 <tibble [66 × 5]>
3 Asia 1970 <tibble [66 × 5]>
4 Asia 1980 <tibble [66 × 5]>
5 Asia 1990 <tibble [66 × 5]>
6 Asia 2000 <tibble [66 × 5]>
7 Europe 1950 <tibble [60 × 5]>
8 Europe 1960 <tibble [60 × 5]>
9 Europe 1970 <tibble [60 × 5]>
10 Europe 1980 <tibble [60 × 5]>
# ℹ 20 more rows
# A tibble: 30 × 3
continent decade data
<fct> <dbl> <list>
1 Asia 1950 <tibble [66 × 5]>
2 Asia 1960 <tibble [66 × 5]>
3 Asia 1970 <tibble [66 × 5]>
4 Asia 1980 <tibble [66 × 5]>
5 Asia 1990 <tibble [66 × 5]>
6 Asia 2000 <tibble [66 × 5]>
7 Europe 1950 <tibble [60 × 5]>
8 Europe 1960 <tibble [60 × 5]>
9 Europe 1970 <tibble [60 × 5]>
10 Europe 1980 <tibble [60 × 5]>
# ℹ 20 more rows
# A tibble: 10 × 3
continent decade data
<fct> <dbl> <list>
1 Asia 1950 <tibble [66 × 5]>
2 Africa 1950 <tibble [104 × 5]>
3 Americas 1950 <tibble [50 × 5]>
4 Americas 2000 <tibble [50 × 5]>
5 Europe 2000 <tibble [60 × 5]>
6 Americas 1970 <tibble [50 × 5]>
7 Europe 1960 <tibble [60 × 5]>
8 Asia 1990 <tibble [66 × 5]>
9 Africa 1970 <tibble [104 × 5]>
10 Oceania 1980 <tibble [4 × 5]>
# A tibble: 448 × 7
continent decade country year lifeExp pop gdpPercap
<fct> <dbl> <fct> <int> <dbl> <int> <dbl>
1 Oceania 1970 Australia 1972 71.9 13177000 16789.
2 Oceania 1970 Australia 1977 73.5 14074100 18334.
3 Oceania 1970 New Zealand 1972 71.9 2929100 16046.
4 Oceania 1970 New Zealand 1977 72.2 3164900 16234.
5 Americas 2000 Argentina 2002 74.3 38331121 8798.
6 Americas 2000 Argentina 2007 75.3 40301927 12779.
7 Americas 2000 Bolivia 2002 63.9 8445134 3413.
8 Americas 2000 Bolivia 2007 65.6 9119152 3822.
9 Americas 2000 Brazil 2002 71.0 179914212 8131.
10 Americas 2000 Brazil 2007 72.4 190010647 9066.
# ℹ 438 more rows
# A tibble: 1,704 × 7
country continent year lifeExp pop gdpPercap decade
<fct> <fct> <int> <dbl> <int> <dbl> <dbl>
1 Afghanistan Asia 1952 28.8 8425333 779. 1950
2 Afghanistan Asia 1957 30.3 9240934 821. 1950
3 Afghanistan Asia 1962 32.0 10267083 853. 1960
4 Afghanistan Asia 1967 34.0 11537966 836. 1960
5 Afghanistan Asia 1972 36.1 13079460 740. 1970
6 Afghanistan Asia 1977 38.4 14880372 786. 1970
7 Afghanistan Asia 1982 39.9 12881816 978. 1980
8 Afghanistan Asia 1987 40.8 13867957 852. 1980
9 Afghanistan Asia 1992 41.7 16317921 649. 1990
10 Afghanistan Asia 1997 41.8 22227415 635. 1990
# ℹ 1,694 more rows
# A tibble: 1,704 × 8
country continent year lifeExp pop gdpPercap decade lifeExp_cat
<fct> <fct> <int> <dbl> <int> <dbl> <dbl> <fct>
1 Afghanistan Asia 1952 28.8 8425333 779. 1950 (24,35]
2 Afghanistan Asia 1957 30.3 9240934 821. 1950 (24,35]
3 Afghanistan Asia 1962 32.0 10267083 853. 1960 (24,35]
4 Afghanistan Asia 1967 34.0 11537966 836. 1960 (24,35]
5 Afghanistan Asia 1972 36.1 13079460 740. 1970 (35,47]
6 Afghanistan Asia 1977 38.4 14880372 786. 1970 (35,47]
7 Afghanistan Asia 1982 39.9 12881816 978. 1980 (35,47]
8 Afghanistan Asia 1987 40.8 13867957 852. 1980 (35,47]
9 Afghanistan Asia 1992 41.7 16317921 649. 1990 (35,47]
10 Afghanistan Asia 1997 41.8 22227415 635. 1990 (35,47]
# ℹ 1,694 more rows
# A tibble: 1,020 × 8
country continent year lifeExp pop gdpPercap decade lifeExp_cat
<fct> <fct> <int> <dbl> <int> <dbl> <dbl> <fct>
1 Afghanistan Asia 1952 28.8 8425333 779. 1950 (24,35]
2 Afghanistan Asia 1957 30.3 9240934 821. 1950 (24,35]
3 Afghanistan Asia 1962 32.0 10267083 853. 1960 (24,35]
4 Afghanistan Asia 1967 34.0 11537966 836. 1960 (24,35]
5 Afghanistan Asia 1972 36.1 13079460 740. 1970 (35,47]
6 Afghanistan Asia 1977 38.4 14880372 786. 1970 (35,47]
7 Afghanistan Asia 1982 39.9 12881816 978. 1980 (35,47]
8 Afghanistan Asia 1987 40.8 13867957 852. 1980 (35,47]
9 Afghanistan Asia 1992 41.7 16317921 649. 1990 (35,47]
10 Afghanistan Asia 1997 41.8 22227415 635. 1990 (35,47]
# ℹ 1,010 more rows
ggplot(gapminder_aa,
aes(x = year,
y = fct_reorder(country, lifeExp),
fill = lifeExp_cat)) +
geom_tile() +
scale_fill_brewer(palette = "YlGnBu") +
labs(y = NULL, x = NULL,
fill = "Life Expectancy") +
theme_cavis +
theme(aspect.ratio = 1.618,
text = element_text(size = 8),
axis.text.y.left = element_text(size = 6),
)
ggplot(gapminder_aa,
aes(x = year,
y = fct_reorder(country, lifeExp),
fill = lifeExp_cat)) +
geom_tile() +
scale_fill_brewer(palette = "YlGnBu") +
labs(y = NULL, x = NULL,
fill = "Life Expectancy") +
theme_cavis +
theme(aspect.ratio = 1.618,
text = element_text(size = 8),
axis.text.y.left = element_text(size = 6),
legend.position = "top",
)
ggplot(gapminder_aa,
aes(x = year,
y = fct_reorder(country, lifeExp),
fill = lifeExp_cat)) +
geom_tile() +
scale_fill_brewer(palette = "YlGnBu") +
labs(y = NULL, x = NULL,
fill = "Life Expectancy") +
theme_cavis +
theme(aspect.ratio = 1.618,
text = element_text(size = 8),
axis.text.y.left = element_text(size = 6),
legend.position = "top",
legend.text.position = "top",
)
ggplot(gapminder_aa,
aes(x = year,
y = fct_reorder(country, lifeExp),
fill = lifeExp_cat)) +
geom_tile() +
scale_fill_brewer(palette = "YlGnBu") +
labs(y = NULL, x = NULL,
fill = "Life Expectancy") +
theme_cavis +
theme(aspect.ratio = 1.618,
text = element_text(size = 8),
axis.text.y.left = element_text(size = 6),
legend.position = "top",
legend.text.position = "top",
legend.key.height = unit(0.15, "cm"),
)
ggplot(gapminder_aa,
aes(x = year,
y = fct_reorder(country, lifeExp),
fill = lifeExp_cat)) +
geom_tile() +
scale_fill_brewer(palette = "YlGnBu") +
labs(y = NULL, x = NULL,
fill = "Life Expectancy") +
theme_cavis +
theme(aspect.ratio = 1.618,
text = element_text(size = 8),
axis.text.y.left = element_text(size = 6),
legend.position = "top",
legend.text.position = "top",
legend.key.height = unit(0.15, "cm"),
legend.key.width = unit(0.75, "cm")
)
ggplot(gapminder_aa,
aes(x = year,
y = fct_reorder(country, lifeExp),
fill = lifeExp_cat)) +
geom_tile() +
scale_fill_brewer(palette = "YlGnBu") +
labs(y = NULL, x = NULL,
fill = "Life Expectancy") +
theme_cavis +
theme(aspect.ratio = 1.618,
text = element_text(size = 8),
axis.text.y.left = element_text(size = 6),
legend.position = "top",
legend.text.position = "top",
legend.key.height = unit(0.15, "cm"),
legend.key.width = unit(0.75, "cm")
) +
coord_fixed(expand = FALSE)
# A tibble: 1,020 × 8
country continent year lifeExp pop gdpPercap decade lifeExp_cat
<fct> <fct> <int> <dbl> <int> <dbl> <dbl> <fct>
1 Afghanistan Asia 1952 28.8 8425333 779. 1950 (24,35]
2 Afghanistan Asia 1957 30.3 9240934 821. 1950 (24,35]
3 Afghanistan Asia 1962 32.0 10267083 853. 1960 (24,35]
4 Afghanistan Asia 1967 34.0 11537966 836. 1960 (24,35]
5 Afghanistan Asia 1972 36.1 13079460 740. 1970 (35,47]
6 Afghanistan Asia 1977 38.4 14880372 786. 1970 (35,47]
7 Afghanistan Asia 1982 39.9 12881816 978. 1980 (35,47]
8 Afghanistan Asia 1987 40.8 13867957 852. 1980 (35,47]
9 Afghanistan Asia 1992 41.7 16317921 649. 1990 (35,47]
10 Afghanistan Asia 1997 41.8 22227415 635. 1990 (35,47]
# ℹ 1,010 more rows
# A tibble: 85 × 8
country continent year lifeExp pop gdpPercap decade lifeExp_cat
<fct> <fct> <int> <dbl> <int> <dbl> <dbl> <fct>
1 Afghanistan Asia 2007 43.8 31889923 975. 2000 (35,47]
2 Algeria Africa 2007 72.3 33333216 6223. 2000 (71,83]
3 Angola Africa 2007 42.7 12420476 4797. 2000 (35,47]
4 Bahrain Asia 2007 75.6 708573 29796. 2000 (71,83]
5 Bangladesh Asia 2007 64.1 150448339 1391. 2000 (59,71]
6 Benin Africa 2007 56.7 8078314 1441. 2000 (47,59]
7 Botswana Africa 2007 50.7 1639131 12570. 2000 (47,59]
8 Burkina Faso Africa 2007 52.3 14326203 1217. 2000 (47,59]
9 Burundi Africa 2007 49.6 8390505 430. 2000 (47,59]
10 Cambodia Asia 2007 59.7 14131858 1714. 2000 (59,71]
# ℹ 75 more rows
# A tibble: 85 × 14
country continent year lifeExp pop gdpPercap decade lifeExp_cat .fitted
<fct> <fct> <int> <dbl> <int> <dbl> <dbl> <fct> <dbl>
1 Afghanis… Asia 2007 43.8 3.19e7 975. 2000 (35,47] 53.8
2 Algeria Africa 2007 72.3 3.33e7 6223. 2000 (71,83] 66.0
3 Angola Africa 2007 42.7 1.24e7 4797. 2000 (35,47] 64.3
4 Bahrain Asia 2007 75.6 7.09e5 29796. 2000 (71,83] 76.3
5 Banglade… Asia 2007 64.1 1.50e8 1391. 2000 (59,71] 56.1
6 Benin Africa 2007 56.7 8.08e6 1441. 2000 (47,59] 56.4
7 Botswana Africa 2007 50.7 1.64e6 12570. 2000 (47,59] 70.6
8 Burkina … Africa 2007 52.3 1.43e7 1217. 2000 (47,59] 55.3
9 Burundi Africa 2007 49.6 8.39e6 430. 2000 (47,59] 48.4
10 Cambodia Asia 2007 59.7 1.41e7 1714. 2000 (59,71] 57.5
# ℹ 75 more rows
# ℹ 5 more variables: .resid <dbl>, .hat <dbl>, .sigma <dbl>, .cooksd <dbl>,
# .std.resid <dbl>
# A tibble: 85 × 14
country continent year lifeExp pop gdpPercap decade lifeExp_cat .fitted
<fct> <fct> <int> <dbl> <int> <dbl> <dbl> <fct> <dbl>
1 Afghanis… Asia 2007 43.8 3.19e7 975. 2000 (35,47] 53.8
2 Algeria Africa 2007 72.3 3.33e7 6223. 2000 (71,83] 66.0
3 Angola Africa 2007 42.7 1.24e7 4797. 2000 (35,47] 64.3
4 Bahrain Asia 2007 75.6 7.09e5 29796. 2000 (71,83] 76.3
5 Banglade… Asia 2007 64.1 1.50e8 1391. 2000 (59,71] 56.1
6 Benin Africa 2007 56.7 8.08e6 1441. 2000 (47,59] 56.4
7 Botswana Africa 2007 50.7 1.64e6 12570. 2000 (47,59] 70.6
8 Burkina … Africa 2007 52.3 1.43e7 1217. 2000 (47,59] 55.3
9 Burundi Africa 2007 49.6 8.39e6 430. 2000 (47,59] 48.4
10 Cambodia Asia 2007 59.7 1.41e7 1714. 2000 (59,71] 57.5
# ℹ 75 more rows
# ℹ 5 more variables: .resid <dbl>, .hat <dbl>, .sigma <dbl>, .cooksd <dbl>,
# .std.resid <dbl>
# A tibble: 5 × 14
country continent year lifeExp pop gdpPercap decade lifeExp_cat .fitted
<fct> <fct> <int> <dbl> <int> <dbl> <dbl> <fct> <dbl>
1 Swaziland Africa 2007 39.6 1.13e6 4513. 2000 (35,47] 63.9
2 Angola Africa 2007 42.7 1.24e7 4797. 2000 (35,47] 64.3
3 Botswana Africa 2007 50.7 1.64e6 12570. 2000 (47,59] 70.6
4 South Afr… Africa 2007 49.3 4.40e7 9270. 2000 (47,59] 68.6
5 Equatoria… Africa 2007 51.6 5.51e5 12154. 2000 (47,59] 70.4
# ℹ 5 more variables: .resid <dbl>, .hat <dbl>, .sigma <dbl>, .cooksd <dbl>,
# .std.resid <dbl>
library(ggforce)
ggplot(gapminder_aa_07,
aes(x = gdpPercap,
y = lifeExp)) +
theme_cavis_grids +
geom_point() +
scale_x_continuous(trans = "log10") +
geom_smooth(
method = "lm",
color = "grey30"
) +
geom_text_repel(data = outliers,
aes(label = country)) +
geom_mark_ellipse(data = outliers,
linetype = 2)
library(ggforce)
ggplot(gapminder_aa_07,
aes(x = gdpPercap,
y = lifeExp)) +
theme_cavis_grids +
geom_point() +
scale_x_continuous(trans = "log10") +
geom_smooth(
method = "lm",
color = "grey30"
) +
geom_text_repel(data = outliers,
aes(label = country)) +
geom_mark_ellipse(data = outliers,
linetype = 2) +
coord_cartesian(clip = "off")
# A tibble: 1,704 × 7
country continent year lifeExp pop gdpPercap decade
<fct> <fct> <int> <dbl> <int> <dbl> <dbl>
1 Afghanistan Asia 1952 28.8 8425333 779. 1950
2 Afghanistan Asia 1957 30.3 9240934 821. 1950
3 Afghanistan Asia 1962 32.0 10267083 853. 1960
4 Afghanistan Asia 1967 34.0 11537966 836. 1960
5 Afghanistan Asia 1972 36.1 13079460 740. 1970
6 Afghanistan Asia 1977 38.4 14880372 786. 1970
7 Afghanistan Asia 1982 39.9 12881816 978. 1980
8 Afghanistan Asia 1987 40.8 13867957 852. 1980
9 Afghanistan Asia 1992 41.7 16317921 649. 1990
10 Afghanistan Asia 1997 41.8 22227415 635. 1990
# ℹ 1,694 more rows
# A tibble: 396 × 7
country continent year lifeExp pop gdpPercap decade
<fct> <fct> <int> <dbl> <int> <dbl> <dbl>
1 Afghanistan Asia 1952 28.8 8425333 779. 1950
2 Afghanistan Asia 1957 30.3 9240934 821. 1950
3 Afghanistan Asia 1962 32.0 10267083 853. 1960
4 Afghanistan Asia 1967 34.0 11537966 836. 1960
5 Afghanistan Asia 1972 36.1 13079460 740. 1970
6 Afghanistan Asia 1977 38.4 14880372 786. 1970
7 Afghanistan Asia 1982 39.9 12881816 978. 1980
8 Afghanistan Asia 1987 40.8 13867957 852. 1980
9 Afghanistan Asia 1992 41.7 16317921 649. 1990
10 Afghanistan Asia 1997 41.8 22227415 635. 1990
# ℹ 386 more rows
set1 <- RColorBrewer::brewer.pal(n = 5, "Set1")
orange <- set1[5]; blue <- set1[2]
ggplot(gapminder_asia,
aes(x = year,
y = log(gdpPercap),
group = country)) +
theme_cavis_hgrid +
geom_line(color = "grey90") +
geom_line(
data = filter(gapminder_asia,
country == "Korea, Rep."),
color = blue
) +
geom_line(
data = filter(gapminder_asia,
country == "Korea, Dem. Rep."),
color = orange
)
set1 <- RColorBrewer::brewer.pal(n = 5, "Set1")
orange <- set1[5]; blue <- set1[2]
ggplot(gapminder_asia,
aes(x = year,
y = log(gdpPercap),
group = country)) +
theme_cavis_hgrid +
geom_line(color = "grey90") +
geom_line(
data = filter(gapminder_asia,
country == "Korea, Rep."),
color = blue
) +
geom_line(
data = filter(gapminder_asia,
country == "Korea, Dem. Rep."),
color = orange
) +
annotate("text", label = "South Korea",
x = 2007, y = 10.2,
color = blue)
set1 <- RColorBrewer::brewer.pal(n = 5, "Set1")
orange <- set1[5]; blue <- set1[2]
ggplot(gapminder_asia,
aes(x = year,
y = log(gdpPercap),
group = country)) +
theme_cavis_hgrid +
geom_line(color = "grey90") +
geom_line(
data = filter(gapminder_asia,
country == "Korea, Rep."),
color = blue
) +
geom_line(
data = filter(gapminder_asia,
country == "Korea, Dem. Rep."),
color = orange
) +
annotate("text", label = "South Korea",
x = 2007, y = 10.2,
color = blue) +
annotate("text", label = "North Korea",
x = 2007, y = 7.6,
color = orange)
# A tibble: 1,704 × 7
country continent year lifeExp pop gdpPercap decade
<fct> <fct> <int> <dbl> <int> <dbl> <dbl>
1 Afghanistan Asia 1952 28.8 8425333 779. 1950
2 Afghanistan Asia 1957 30.3 9240934 821. 1950
3 Afghanistan Asia 1962 32.0 10267083 853. 1960
4 Afghanistan Asia 1967 34.0 11537966 836. 1960
5 Afghanistan Asia 1972 36.1 13079460 740. 1970
6 Afghanistan Asia 1977 38.4 14880372 786. 1970
7 Afghanistan Asia 1982 39.9 12881816 978. 1980
8 Afghanistan Asia 1987 40.8 13867957 852. 1980
9 Afghanistan Asia 1992 41.7 16317921 649. 1990
10 Afghanistan Asia 1997 41.8 22227415 635. 1990
# ℹ 1,694 more rows
# A tibble: 1,704 × 7
country continent year lifeExp pop gdpPercap decade
<fct> <fct> <int> <dbl> <int> <dbl> <fct>
1 Afghanistan Asia 1952 28.8 8425333 779. 1950
2 Afghanistan Asia 1957 30.3 9240934 821. 1950
3 Afghanistan Asia 1962 32.0 10267083 853. 1960
4 Afghanistan Asia 1967 34.0 11537966 836. 1960
5 Afghanistan Asia 1972 36.1 13079460 740. 1970
6 Afghanistan Asia 1977 38.4 14880372 786. 1970
7 Afghanistan Asia 1982 39.9 12881816 978. 1980
8 Afghanistan Asia 1987 40.8 13867957 852. 1980
9 Afghanistan Asia 1992 41.7 16317921 649. 1990
10 Afghanistan Asia 1997 41.8 22227415 635. 1990
# ℹ 1,694 more rows
# A tibble: 1,704 × 7
country continent year lifeExp pop gdpPercap decade
<fct> <fct> <int> <dbl> <int> <dbl> <fct>
1 Afghanistan Asia 1952 28.8 8425333 779. 1950
2 Afghanistan Asia 1957 30.3 9240934 821. 1950
3 Afghanistan Asia 1962 32.0 10267083 853. 1960
4 Afghanistan Asia 1967 34.0 11537966 836. 1960
5 Afghanistan Asia 1972 36.1 13079460 740. 1970
6 Afghanistan Asia 1977 38.4 14880372 786. 1970
7 Afghanistan Asia 1982 39.9 12881816 978. 1980
8 Afghanistan Asia 1987 40.8 13867957 852. 1980
9 Afghanistan Asia 1992 41.7 16317921 649. 1990
10 Afghanistan Asia 1997 41.8 22227415 635. 1990
# ℹ 1,694 more rows
## Run some regression models
gapminder %>%
mutate(decade = factor(decade)) %>%
mutate(continent = fct_relevel(continent, "Asia")) ->
gapminder
m1 <- lifeExp ~ log(gdpPercap) + log(pop)
m2 <- lifeExp ~ log(gdpPercap) + log(pop) + continent
m3 <- lifeExp ~ log(gdpPercap) + log(pop) + continent + decade## Run some regression models
gapminder %>%
mutate(decade = factor(decade)) %>%
mutate(continent = fct_relevel(continent, "Asia")) ->
gapminder
m1 <- lifeExp ~ log(gdpPercap) + log(pop)
m2 <- lifeExp ~ log(gdpPercap) + log(pop) + continent
m3 <- lifeExp ~ log(gdpPercap) + log(pop) + continent + decade
m1_res <- lm(m1, data = gapminder)## Run some regression models
gapminder %>%
mutate(decade = factor(decade)) %>%
mutate(continent = fct_relevel(continent, "Asia")) ->
gapminder
m1 <- lifeExp ~ log(gdpPercap) + log(pop)
m2 <- lifeExp ~ log(gdpPercap) + log(pop) + continent
m3 <- lifeExp ~ log(gdpPercap) + log(pop) + continent + decade
m1_res <- lm(m1, data = gapminder)
m2_res <- lm(m2, data = gapminder)## Run some regression models
gapminder %>%
mutate(decade = factor(decade)) %>%
mutate(continent = fct_relevel(continent, "Asia")) ->
gapminder
m1 <- lifeExp ~ log(gdpPercap) + log(pop)
m2 <- lifeExp ~ log(gdpPercap) + log(pop) + continent
m3 <- lifeExp ~ log(gdpPercap) + log(pop) + continent + decade
m1_res <- lm(m1, data = gapminder)
m2_res <- lm(m2, data = gapminder)
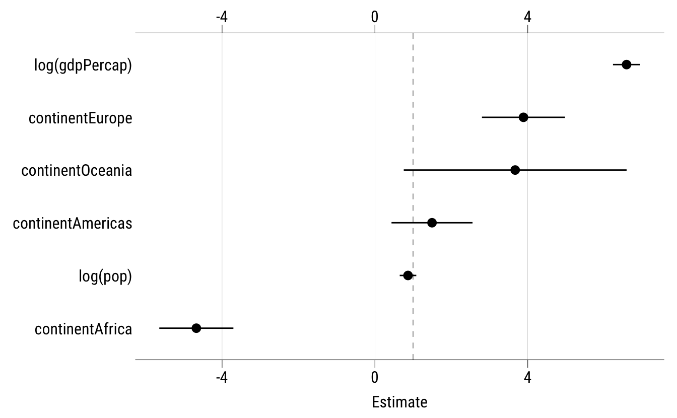
m3_res <- lm(m3, data = gapminder)| (1) | (2) | (3) | |
|---|---|---|---|
| + p < 0.1, * p < 0.05, ** p < 0.01, *** p < 0.001 | |||
| (Intercept) | -28.771*** | -7.341** | 9.801*** |
| (2.076) | (2.488) | (2.197) | |
| log(gdpPercap) | 8.344*** | 6.587*** | 5.090*** |
| (0.143) | (0.182) | (0.163) | |
| log(pop) | 1.279*** | 0.866*** | 0.163+ |
| (0.111) | (0.111) | (0.097) | |
| continentAfrica | -4.674*** | -6.801*** | |
| (0.494) | (0.423) | ||
| continentAmericas | 1.495** | 1.917*** | |
| (0.541) | (0.454) | ||
| continentEurope | 3.888*** | 5.442*** | |
| (0.554) | (0.469) | ||
| continentOceania | 3.671* | 5.697*** | |
| (1.487) | (1.251) | ||
| decade1960 | 2.960*** | ||
| (0.490) | |||
| decade1970 | 5.431*** | ||
| (0.499) | |||
| decade1980 | 8.638*** | ||
| (0.505) | |||
| decade1990 | 10.618*** | ||
| (0.510) | |||
| decade2000 | 11.384*** | ||
| (0.523) | |||
| Num.Obs. | 1704 | 1704 | 1704 |
| R2 | 0.677 | 0.714 | 0.799 |
# A tibble: 3 × 7
term estimate std.error statistic p.value conf.low conf.high
<chr> <dbl> <dbl> <dbl> <dbl> <dbl> <dbl>
1 (Intercept) -28.8 2.08 -13.9 1.78e-41 -32.8 -24.7
2 log(gdpPercap) 8.34 0.143 58.2 0 8.06 8.63
3 log(pop) 1.28 0.111 11.5 1.12e-29 1.06 1.50
# A tibble: 3 × 8
term estimate std.error statistic p.value conf.low conf.high model
<chr> <dbl> <dbl> <dbl> <dbl> <dbl> <dbl> <chr>
1 (Intercept) -28.8 2.08 -13.9 1.78e-41 -32.8 -24.7 M1: b…
2 log(gdpPercap) 8.34 0.143 58.2 0 8.06 8.63 M1: b…
3 log(pop) 1.28 0.111 11.5 1.12e-29 1.06 1.50 M1: b…
# A tibble: 2 × 8
term estimate std.error statistic p.value conf.low conf.high model
<chr> <dbl> <dbl> <dbl> <dbl> <dbl> <dbl> <chr>
1 log(gdpPercap) 8.34 0.143 58.2 0 8.06 8.63 M1: b…
2 log(pop) 1.28 0.111 11.5 1.12e-29 1.06 1.50 M1: b…
# A tibble: 7 × 7
term estimate std.error statistic p.value conf.low conf.high
<chr> <dbl> <dbl> <dbl> <dbl> <dbl> <dbl>
1 (Intercept) -7.34 2.49 -2.95 3.22e- 3 -12.2 -2.46
2 log(gdpPercap) 6.59 0.182 36.3 6.77e-214 6.23 6.94
3 log(pop) 0.866 0.111 7.83 8.48e- 15 0.649 1.08
4 continentAfrica -4.67 0.494 -9.45 1.06e- 20 -5.64 -3.70
5 continentAmericas 1.49 0.541 2.76 5.77e- 3 0.434 2.56
6 continentEurope 3.89 0.554 7.02 3.30e- 12 2.80 4.98
7 continentOceania 3.67 1.49 2.47 1.36e- 2 0.755 6.59
# A tibble: 7 × 8
term estimate std.error statistic p.value conf.low conf.high model
<chr> <dbl> <dbl> <dbl> <dbl> <dbl> <dbl> <chr>
1 (Intercept) -7.34 2.49 -2.95 3.22e- 3 -12.2 -2.46 M2: …
2 log(gdpPercap) 6.59 0.182 36.3 6.77e-214 6.23 6.94 M2: …
3 log(pop) 0.866 0.111 7.83 8.48e- 15 0.649 1.08 M2: …
4 continentAfri… -4.67 0.494 -9.45 1.06e- 20 -5.64 -3.70 M2: …
5 continentAmer… 1.49 0.541 2.76 5.77e- 3 0.434 2.56 M2: …
6 continentEuro… 3.89 0.554 7.02 3.30e- 12 2.80 4.98 M2: …
7 continentOcea… 3.67 1.49 2.47 1.36e- 2 0.755 6.59 M2: …
# A tibble: 6 × 8
term estimate std.error statistic p.value conf.low conf.high model
<chr> <dbl> <dbl> <dbl> <dbl> <dbl> <dbl> <chr>
1 log(gdpPercap) 6.59 0.182 36.3 6.77e-214 6.23 6.94 M2: …
2 log(pop) 0.866 0.111 7.83 8.48e- 15 0.649 1.08 M2: …
3 continentAfri… -4.67 0.494 -9.45 1.06e- 20 -5.64 -3.70 M2: …
4 continentAmer… 1.49 0.541 2.76 5.77e- 3 0.434 2.56 M2: …
5 continentEuro… 3.89 0.554 7.02 3.30e- 12 2.80 4.98 M2: …
6 continentOcea… 3.67 1.49 2.47 1.36e- 2 0.755 6.59 M2: …
# A tibble: 12 × 7
term estimate std.error statistic p.value conf.low conf.high
<chr> <dbl> <dbl> <dbl> <dbl> <dbl> <dbl>
1 (Intercept) 9.80 2.20 4.46 8.68e- 6 5.49 14.1
2 log(gdpPercap) 5.09 0.163 31.2 1.53e-169 4.77 5.41
3 log(pop) 0.163 0.0966 1.68 9.24e- 2 -0.0268 0.352
4 continentAfrica -6.80 0.423 -16.1 3.06e- 54 -7.63 -5.97
5 continentAmericas 1.92 0.454 4.22 2.57e- 5 1.03 2.81
6 continentEurope 5.44 0.469 11.6 5.65e- 30 4.52 6.36
7 continentOceania 5.70 1.25 4.55 5.65e- 6 3.24 8.15
8 decade1960 2.96 0.490 6.04 1.91e- 9 2.00 3.92
9 decade1970 5.43 0.499 10.9 1.02e- 26 4.45 6.41
10 decade1980 8.64 0.505 17.1 1.54e- 60 7.65 9.63
11 decade1990 10.6 0.510 20.8 8.75e- 86 9.62 11.6
12 decade2000 11.4 0.523 21.8 6.19e- 93 10.4 12.4
library(broom)
tidy(m1_res, conf.int = T) %>%
mutate(model = "M1: baseline") %>%
filter(term != "(Intercept)") ->
m1_res_tidy
tidy(m2_res, conf.int = T) %>%
mutate(model = "M2: w/ continent FEs") %>%
filter(term != "(Intercept)") ->
m2_res_tidy
tidy(m3_res, conf.int = T) %>%
mutate(model = "M3: w/ continent + decade FEs")# A tibble: 12 × 8
term estimate std.error statistic p.value conf.low conf.high model
<chr> <dbl> <dbl> <dbl> <dbl> <dbl> <dbl> <chr>
1 (Intercept) 9.80 2.20 4.46 8.68e- 6 5.49 14.1 M3: …
2 log(gdpPerca… 5.09 0.163 31.2 1.53e-169 4.77 5.41 M3: …
3 log(pop) 0.163 0.0966 1.68 9.24e- 2 -0.0268 0.352 M3: …
4 continentAfr… -6.80 0.423 -16.1 3.06e- 54 -7.63 -5.97 M3: …
5 continentAme… 1.92 0.454 4.22 2.57e- 5 1.03 2.81 M3: …
6 continentEur… 5.44 0.469 11.6 5.65e- 30 4.52 6.36 M3: …
7 continentOce… 5.70 1.25 4.55 5.65e- 6 3.24 8.15 M3: …
8 decade1960 2.96 0.490 6.04 1.91e- 9 2.00 3.92 M3: …
9 decade1970 5.43 0.499 10.9 1.02e- 26 4.45 6.41 M3: …
10 decade1980 8.64 0.505 17.1 1.54e- 60 7.65 9.63 M3: …
11 decade1990 10.6 0.510 20.8 8.75e- 86 9.62 11.6 M3: …
12 decade2000 11.4 0.523 21.8 6.19e- 93 10.4 12.4 M3: …
library(broom)
tidy(m1_res, conf.int = T) %>%
mutate(model = "M1: baseline") %>%
filter(term != "(Intercept)") ->
m1_res_tidy
tidy(m2_res, conf.int = T) %>%
mutate(model = "M2: w/ continent FEs") %>%
filter(term != "(Intercept)") ->
m2_res_tidy
tidy(m3_res, conf.int = T) %>%
mutate(model = "M3: w/ continent + decade FEs") %>%
filter(term != "(Intercept)")# A tibble: 11 × 8
term estimate std.error statistic p.value conf.low conf.high model
<chr> <dbl> <dbl> <dbl> <dbl> <dbl> <dbl> <chr>
1 log(gdpPerca… 5.09 0.163 31.2 1.53e-169 4.77 5.41 M3: …
2 log(pop) 0.163 0.0966 1.68 9.24e- 2 -0.0268 0.352 M3: …
3 continentAfr… -6.80 0.423 -16.1 3.06e- 54 -7.63 -5.97 M3: …
4 continentAme… 1.92 0.454 4.22 2.57e- 5 1.03 2.81 M3: …
5 continentEur… 5.44 0.469 11.6 5.65e- 30 4.52 6.36 M3: …
6 continentOce… 5.70 1.25 4.55 5.65e- 6 3.24 8.15 M3: …
7 decade1960 2.96 0.490 6.04 1.91e- 9 2.00 3.92 M3: …
8 decade1970 5.43 0.499 10.9 1.02e- 26 4.45 6.41 M3: …
9 decade1980 8.64 0.505 17.1 1.54e- 60 7.65 9.63 M3: …
10 decade1990 10.6 0.510 20.8 8.75e- 86 9.62 11.6 M3: …
11 decade2000 11.4 0.523 21.8 6.19e- 93 10.4 12.4 M3: …
library(broom)
tidy(m1_res, conf.int = T) %>%
mutate(model = "M1: baseline") %>%
filter(term != "(Intercept)") ->
m1_res_tidy
tidy(m2_res, conf.int = T) %>%
mutate(model = "M2: w/ continent FEs") %>%
filter(term != "(Intercept)") ->
m2_res_tidy
tidy(m3_res, conf.int = T) %>%
mutate(model = "M3: w/ continent + decade FEs") %>%
filter(term != "(Intercept)") ->
m3_res_tidylibrary(broom)
tidy(m1_res, conf.int = T) %>%
mutate(model = "M1: baseline") %>%
filter(term != "(Intercept)") ->
m1_res_tidy
tidy(m2_res, conf.int = T) %>%
mutate(model = "M2: w/ continent FEs") %>%
filter(term != "(Intercept)") ->
m2_res_tidy
tidy(m3_res, conf.int = T) %>%
mutate(model = "M3: w/ continent + decade FEs") %>%
filter(term != "(Intercept)") ->
m3_res_tidy
all_res_tidy <- bind_rows(m1_res_tidy, m2_res_tidy, m3_res_tidy)# A tibble: 19 × 8
term estimate std.error statistic p.value conf.low conf.high model
<chr> <dbl> <dbl> <dbl> <dbl> <dbl> <dbl> <chr>
1 log(gdpPerca… 8.34 0.143 58.2 0 8.06 8.63 M1: …
2 log(pop) 1.28 0.111 11.5 1.12e- 29 1.06 1.50 M1: …
3 log(gdpPerca… 6.59 0.182 36.3 6.77e-214 6.23 6.94 M2: …
4 log(pop) 0.866 0.111 7.83 8.48e- 15 0.649 1.08 M2: …
5 continentAfr… -4.67 0.494 -9.45 1.06e- 20 -5.64 -3.70 M2: …
6 continentAme… 1.49 0.541 2.76 5.77e- 3 0.434 2.56 M2: …
7 continentEur… 3.89 0.554 7.02 3.30e- 12 2.80 4.98 M2: …
8 continentOce… 3.67 1.49 2.47 1.36e- 2 0.755 6.59 M2: …
9 log(gdpPerca… 5.09 0.163 31.2 1.53e-169 4.77 5.41 M3: …
10 log(pop) 0.163 0.0966 1.68 9.24e- 2 -0.0268 0.352 M3: …
11 continentAfr… -6.80 0.423 -16.1 3.06e- 54 -7.63 -5.97 M3: …
12 continentAme… 1.92 0.454 4.22 2.57e- 5 1.03 2.81 M3: …
13 continentEur… 5.44 0.469 11.6 5.65e- 30 4.52 6.36 M3: …
14 continentOce… 5.70 1.25 4.55 5.65e- 6 3.24 8.15 M3: …
15 decade1960 2.96 0.490 6.04 1.91e- 9 2.00 3.92 M3: …
16 decade1970 5.43 0.499 10.9 1.02e- 26 4.45 6.41 M3: …
17 decade1980 8.64 0.505 17.1 1.54e- 60 7.65 9.63 M3: …
18 decade1990 10.6 0.510 20.8 8.75e- 86 9.62 11.6 M3: …
19 decade2000 11.4 0.523 21.8 6.19e- 93 10.4 12.4 M3: …
# A tibble: 6 × 8
term estimate std.error statistic p.value conf.low conf.high model
<chr> <dbl> <dbl> <dbl> <dbl> <dbl> <dbl> <chr>
1 log(gdpPercap) 8.34 0.143 58.2 0 8.06 8.63 M1: …
2 log(pop) 1.28 0.111 11.5 1.12e- 29 1.06 1.50 M1: …
3 log(gdpPercap) 6.59 0.182 36.3 6.77e-214 6.23 6.94 M2: …
4 log(pop) 0.866 0.111 7.83 8.48e- 15 0.649 1.08 M2: …
5 log(gdpPercap) 5.09 0.163 31.2 1.53e-169 4.77 5.41 M3: …
6 log(pop) 0.163 0.0966 1.68 9.24e- 2 -0.0268 0.352 M3: …
blues <- RColorBrewer::brewer.pal(9, "Blues")
blues <- blues[c(3, 6, 9)]
all_res_tidy %>%
filter(term %in% c("log(gdpPercap)", "log(pop)")) %>%
ggplot(aes(y = fct_reorder(term, estimate),
x = estimate,
xmin = conf.low,
xmax = conf.high,
color = model)) +
theme_cavis_vgrid +
geom_vline(xintercept = 0, linetype = 2, color = "grey")
blues <- RColorBrewer::brewer.pal(9, "Blues")
blues <- blues[c(3, 6, 9)]
all_res_tidy %>%
filter(term %in% c("log(gdpPercap)", "log(pop)")) %>%
ggplot(aes(y = fct_reorder(term, estimate),
x = estimate,
xmin = conf.low,
xmax = conf.high,
color = model)) +
theme_cavis_vgrid +
geom_vline(xintercept = 0, linetype = 2, color = "grey") +
geom_pointrange(
)
blues <- RColorBrewer::brewer.pal(9, "Blues")
blues <- blues[c(3, 6, 9)]
all_res_tidy %>%
filter(term %in% c("log(gdpPercap)", "log(pop)")) %>%
ggplot(aes(y = fct_reorder(term, estimate),
x = estimate,
xmin = conf.low,
xmax = conf.high,
color = model)) +
theme_cavis_vgrid +
geom_vline(xintercept = 0, linetype = 2, color = "grey") +
geom_pointrange(
position = position_dodge2(width = 0.5)
)
blues <- RColorBrewer::brewer.pal(9, "Blues")
blues <- blues[c(3, 6, 9)]
all_res_tidy %>%
filter(term %in% c("log(gdpPercap)", "log(pop)")) %>%
ggplot(aes(y = fct_reorder(term, estimate),
x = estimate,
xmin = conf.low,
xmax = conf.high,
color = model)) +
theme_cavis_vgrid +
geom_vline(xintercept = 0, linetype = 2, color = "grey") +
geom_pointrange(
position = position_dodge2(width = 0.5)
) +
scale_color_manual(values = blues)
blues <- RColorBrewer::brewer.pal(9, "Blues")
blues <- blues[c(3, 6, 9)]
all_res_tidy %>%
filter(term %in% c("log(gdpPercap)", "log(pop)")) %>%
ggplot(aes(y = fct_reorder(term, estimate),
x = estimate,
xmin = conf.low,
xmax = conf.high,
color = model)) +
theme_cavis_vgrid +
geom_vline(xintercept = 0, linetype = 2, color = "grey") +
geom_pointrange(
position = position_dodge2(width = 0.5)
) +
scale_color_manual(values = blues) +
theme(legend.position = "top")
blues <- RColorBrewer::brewer.pal(9, "Blues")
blues <- blues[c(3, 6, 9)]
all_res_tidy %>%
filter(term %in% c("log(gdpPercap)", "log(pop)")) %>%
ggplot(aes(y = fct_reorder(term, estimate),
x = estimate,
xmin = conf.low,
xmax = conf.high,
color = model)) +
theme_cavis_vgrid +
geom_vline(xintercept = 0, linetype = 2, color = "grey") +
geom_pointrange(
position = position_dodge2(width = 0.5)
) +
scale_color_manual(values = blues) +
theme(legend.position = "top") +
scale_x_continuous(
sec.axis = dup_axis(name = NULL)
) +
labs(y = NULL, x = "Estimate")
Please don’t use:
PNG is a raster image with lossless compression (better quality than JPG)
But PDF – vector image – is often preferred, especially if you work with LaTeX
Website: https://brianleungkp.github.io/
Email: kpleung@uw.edu